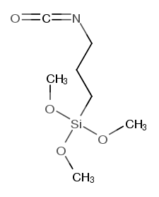
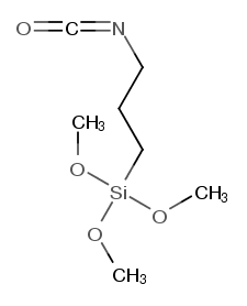
Royalchem ofrece ICPTMS, un silano bifuncional premium que contiene un grupo isocianato altamente reactivo y grupos trimetoxisililo hidrolizables. Es el promotor de adhesión estándar para selladores de poliuretano, adhesivos de parabrisas automotrices y sistemas de polímeros modificados con silano (SMP/MS). Actúa reaccionando con grupos hidroxilo o amino activos en el polímero base, proporcionando una unión química duradera con sustratos inorgánicos.
| Nombre Químico | 3-Isocianatopropiltrimetoxisilano |
| Pureza (GC) | ≥ 98.0% (Típico 99.0%) |
| Contenido de NCO | ≥ 20.07% |
| Apariencia | Líquido transparente e incoloro |
| Densidad (25°C) | 1.060 - 1.080 g/cm³ |
| Índice de Refracción (nD25) | 1.4190 - 1.4250 |
| Color (APHA) | ≤ 30 |
Estructura Molecular (C₇H₁₅NO₄Si)
Grupo Isocianato (-NCO): Reacciona con -OH, -NH₂ (Resinas orgánicas)
Grupo Metoxi (-Si-OCH₃): Reacciona con Vidrio/Metal/Cargas
Ingrediente crítico en selladores de poliuretano monocomponente (1K) y bicomponente (2K). Mejora drásticamente la adhesión al vidrio, aluminio y acero sin necesidad de imprimación previa.
Utilizado en la síntesis de resinas terminadas en silano (STP/SMP). Reacciona con polioles para crear polímeros híbridos libres de isocianatos libres, combinando las ventajas de la silicona y el PU.
Agente de reticulación para recubrimientos de látex y promotor de adhesión en imprimaciones para metal y vidrio. Mejora la resistencia a la corrosión y la durabilidad en ambientes húmedos.
Embalaje Estándar:
Tambores de plástico/acero de 200kg.
Contenedores IBC de 1000kg.
Bidones de 25kg (muestras).
Almacenamiento:
Almacenar herméticamente cerrado en lugar fresco y seco. El contacto con la humedad provoca hidrólisis y libera metanol. Vida útil: 12 meses.
