Expertos en servicios químicos
Usted está aquí: Home / Productos / Otros / Surfactantes / Sulfonato de alfa-olefina
Sulfonato de alfa-olefina

loading

facebook sharing button
twitter sharing button
line sharing button
wechat sharing button
linkedin sharing button
pinterest sharing button
sharethis sharing button
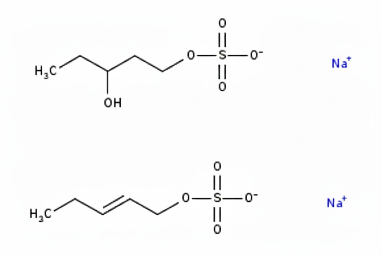
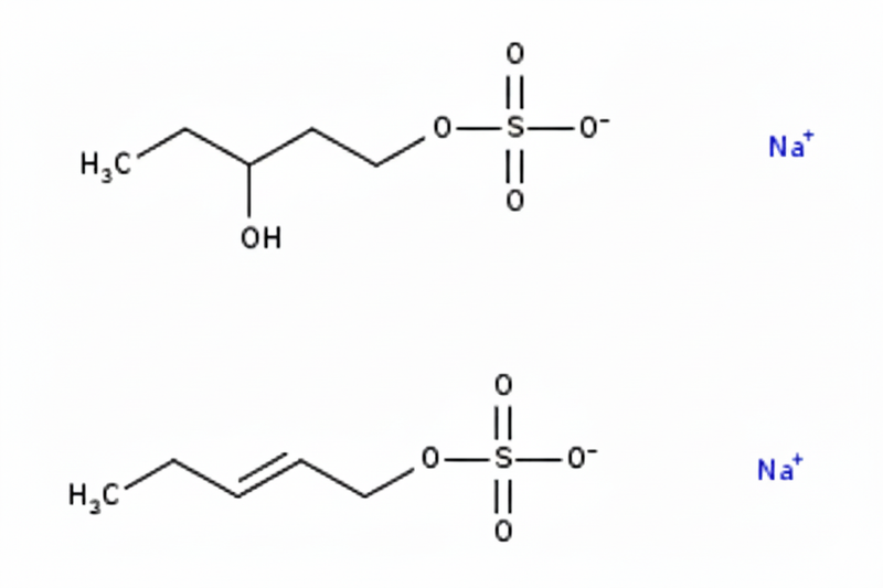
NO CAS.: 68439-57-6
Estado de Disponibilidad:
Cantidad:

Sulfonato de alfa-olefina

Descripción Del Producto

AOS 35% (Sulfonato de Alfa-Olefina C14-16)

Tensioactivo Aniónico Premium: Alta Espuma, Suavidad y Resistencia al Agua Dura
CAS: 68439-57-6                                     EC: 270-407-8                                     Activo: 35% (Líquido)            

Royalchem suministra AOS 35%, un tensioactivo de tercera generación con un rendimiento superior. A diferencia del LAS o SLES tradicionales, el AOS ofrece una espuma cremosa y abundante incluso en aguas duras, junto con una excelente biodegradabilidad y suavidad para la piel. Es la elección preferida para formulaciones "Sulfate-Free" y productos de limpieza de alto rendimiento.

Especificaciones Técnicas (TDS)
Nombre Químico Sodium C14-16 Alpha Olefin Sulfonate                            
Materia Activa 34.0 - 36.0%                            
Apariencia (25°C) Líquido transparente amarillo claro
Color (Hazen, 5% a.m.) ≤ 60
pH (Solución al 10%) 9.0 - 11.0 (Ajustable)
Materia No Sulfonada ≤ 1.5%
Sulfato de Sodio ≤ 1.5%
*Nota: Libre de conservantes. Excelente estabilidad en un amplio rango de pH.

Estructura Química

68439-57-6
Ventajas Clave:
  • Espuma rica y estable (Microburbujas)

  • Excelente en agua dura

  • Más suave que el LAS/SLES

  • Fácilmente biodegradable

Aplicaciones Industriales y Cosméticas

Cuidado Personal (Sulfate-Free)

Ingrediente base ideal para champús sin sulfatos, geles de ducha, limpiadores faciales y jabones de manos. Proporciona una espuma lujosa sin resecar la piel.

Limpieza Industrial y Automotriz

Perfecto para champús de lavado de coches (Car Wash) debido a su alta capacidad espumante y fácil enjuague. También se usa en limpiadores de alfombras y tapicerías (baja adherencia de residuos).

Construcción y Otros

Utilizado como agente aireante en la producción de hormigón ligero y placas de yeso. También es un componente clave en espumas contra incendios.

Logística y Embalaje

Presentación:

Tambores de plástico de 200kg.
Contenedores IBC de 1000kg.
Flexitank disponible para grandes volúmenes.

Almacenamiento:

Almacenar en lugar fresco y seco (25-35°C). Evitar temperaturas extremas. Vida útil típica: 12-24 meses.

Anterior: 
Siguiente: 
Royalchem
Teléfono:
34-686341722
Correo electrónico:
Habla a:
Valladolid, España
Sobre nosotros
Nuestra empresa está en España. Somos una empresa profesional de distribución química y agencia, y proporciona servicios relevantes en torno a los negocios químicos.

Suscribir
Regístrese para que nuestro boletín reciba las últimas noticias.
Copyright 2021 Royal Chemical Iberica, SL.Mapa del sitio/ Con apoyo deLetrero